ENGLISH
yl7703永利集团
书记信箱
院长信箱
 
永利概况
学院简介
现任领导
组织机构
师资队伍
教授
副教授
在职教工名录
荣休教工名录
实践教学导师
硕士生导师
硕士生校外实践导师
学院文件
党委发文
行政发文
规章制度
学院管理制度
教务制度
学术科研制度
学生工作制度
行政发文 首页 > 永利概况 > 学院文件 > 行政发文 > 正文
4号文 关于印发《yl7703永利集团非全日制研究生学业奖学金评审实施细则》的通知
 发布日期:2019-11-18 | 所属分类:行政发文 | 阅读次数:

yl7703永利集团文件


法字〔2019〕4号

 

 

关于印发《yl7703永利集团非全日制研究生学业奖学金评审实施细则》的通知

全院各部门:

《yl7703永利集团非全日制研究生学业奖学金评审实施细则》已经学院党政联席会议研究通过,现印发给你们,请认真贯彻执行。

yl7703永利集团

    2019年9月 12日

yl7703永利集团办公室             2019年9月 12日印发  

 

yl7703永利集团非全日制研究生学业奖学金评审

实施细则

 

第一条  为激励非全日制研究生勤奋学习、积极进取、潜心科研、勇于创新,在全面实行研究生收费制度的情况下更好地支持研究生顺利完成学业,根据《江苏省研究生学业奖学金管理暂行办法》(苏财规〔20142号)、《yl7703永利集团研究生国家奖学金评审实施细则江大校〔2018401》、《yl7703永利集团研究生学业奖学金评审实施细则(江大校〔2018403号)》等文件规定,结合我院实际情况,制定本细则。

第二条  本细则适用于具有中华人民共和国国籍,在规定学制年限内的非全日制在读研究生

第三条  非全日制研究生学业奖学金,资金来源为学院自筹,主要为非全日制研究生培养费等。

第四条  奖学金评审应遵循公开、公平、公正原则,重点支持全脱产学习且没有固定工资收入的非全日制研究生。奖学金审批前须公示,接受监督。

第五条  有下列情况之一的,不具备奖学金参评资格:

(一)违反国家法律、校纪校规受到纪律处分或仍在处分期内;

(二)有抄袭剽窃、弄虚作假等学术不端行为经查证属实;

(三)参评学年学籍处于休学状态;

(四)无特殊原因拖欠学费、住宿费等相关费用;

(五)超出基本学制期限;

(六)言行不当,给学校或集体造成不良社会影响者。

第六条  研究生综合测评总分(G)包括基本素质测评(G1)、课程学习成绩测评(G2)、科研实践创新能力(G3)和社会实践活动能力(G4)四部分。

 基本素质测评采取民主评议和辅导员考核相结合的方法。计算公式:G1=G1′×60%+G1″×40%,其中,全班民主评议采用逐人评分制,满分 100 分,该生得分总和平均值为 G1′;辅导员根据该生入学后的综合表现评分,满分 100 分,其评分结果为 G1″

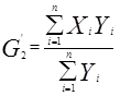
第八条  课程学习成绩测评(G2

G2 为研究生第一学年内修学所有课程的平均成绩,计算公式为:

公式中 X i ——参加测评的每门课程的折算成绩(将所有课程的最高分设定为 90 分,课程折算成绩=90*课程实际成绩/该门课程的最高分,采用百分制形式)

Y i ——相应课程的学分数;

n ——参加测评的课程总门数。

五级记分制与百分制成绩换算标准为:优90 分,良—80分,中—70 分,及格—60 分,不及格—50 分。经研究生院认定并按规定手续已办理课程“延考”者,“延考”课程不纳入计算。

第十条  科研实践创新能力(G3

科研实践创新能力(G3)主要考核研究生的科研成果和创新实践赛事获奖成果。科研成果是指研究生在学期间所有通过自身努力发表的学术论文、申请授权的专利和参与的科研课题等科学研究,科研成果应符合《yl7703永利集团关于研究生在学期间发表学术论文的规定》(江大校〔2016545 号)要求,“研究生科研成果加分表”详见附表1

创新实践赛事获奖是指研究生在校期间积极参与学校认定的国家级、省级和校级的各类学术赛事活动并成功获奖。“研究生科研实践创新赛事成果加分表”详见附表2

研究生科研实践创新赛事附表2的“参与”是指获得“优秀”奖项以上具有荣誉证书的,且该参评赛事应具有一定的过程性、评选性,即时性赛事不在此列。

第十一条  社会实践活动能力(G4

社会实践活动能力主要考核研究生积极参加社团组织或学校、班级的相关社会实践和志愿服务工作等,并取得一定的成绩,经考核合格,给予相应加分。“研究生社会实践活动能力加分细则”详见附件3

第十二条  研究生的测评总分(G)由基本素质测评得分(G1)、课程学习成绩测评得分(G2)、科研实践创新能力测评得分(G3)和社会活动能力测评得分(G4)加权得出,计算公式为:G=(G1+ G4)×15%+G2×65%+100×20%*G3/ G3Max ,其中,G3 Max为本学院参评的学术型研究生或专业学位研究生 G3的最高分值。

第十三条  非全日制研究生学业奖学金,一等奖3000元;二等奖2000元;三等奖1000元。

第十  学生对奖学金评审结果有异议的,可在公示期间内向学院反映。学生对处理意见仍持有异议的,可在处理后3个工作日内以书面形式向研工部提出复议。

第十  已获批奖学金的学生,如发现其在评奖过程中有弄虚作假行为或严重违反校规校纪现象或有学术不端行为及其他原因被举报并查实者,将取消其获奖资格,追回证书及奖金,并根据相关规定对当事人予以处理。

第十  本细则由yl7703永利集团负责解释,自2019912日起施行。



 
yl7703永利集团公众号
联系我们
yl7703永利集团办公室  Email:law@ujs.edu.cn  电话:0511-88782665

Copyright © yl7703永利集团(CHN·有限公司)官方网站-Official Website 版权所有
地址:江苏省镇江市学府路301号  您是本站第 539532 位访客